日本政府は、五輪の延期や中止を避けるべく、国内すべての公立学校を2週間休校するよう求めた。それだけでなく、健常な県だろうがそうでなかろうが、仕事などによる人の集まりさえ排除しようとしている。
だが、たとえホスト国が感染を抑制できたとしても、すべての参加国が同じというわけにはいかない。
AP通信が2月28日に報じたところによると、1978年以来IOCの古参メンバーであるディック・パウンドは、東京五輪を開催するかどうかを決定する期限は5月末までになると述べた。また、準備期間が短いため、他の都市での開催や地域の分散開催は困難であると指摘。さらに数ヶ月の延期も、米国のプロフットボールおよびバスケットボールのシーズンと重なるため、放送権料を支払うアメリカのテレビ局を納得させることは困難との否定的見解を示した。これは、COVID-19コロナウイルスの拡散が、これ以上は許容されないことを意味している。
IOCのバッハ会長は、スケジュールどおり開催されると述べてはいる。が、これはWTOがパンデミック宣言を出してないのが前提である。3月2日現在、新型コロナウイルスに感染者数は88,000人を超え、感染国の数は世界で60を超えている。アフリカでの最初の症例はナイジェリアで2月28日に確認、カタール、エクアドル、ルクセンブルク、アイルランドも29日に確認された。また、3月1日にはアルメニアとチェコ共和国でも最初の症例が報告され、ドイツでは3月1日に感染者数が倍増。AFPによると、職員が仕事を拒否したため3月1日からクローズされたルーブル美術館のあるフランスでは、130人の感染者と2人の死者がおり、5,000人以上の集会の禁止と、感染が最も広まっている地域の学校と宗教行事の閉鎖を発表、当日開催予定のパリ・ハーフマラソンも、新型コロナウイルスに対する懸念によりキャンセルされている。そして、イタリア市民保護局も3月1日、感染者数が1694人と前日から約50%増加し、死者数が34人に達したと報告している。
とはいえ、このCOVID-19の死亡率は高くはない。発症しない者もいる。他のウイルスとの違いは、ワクチンがまだ開発途上にある事だ。言い換えれば、このウイルスは、まだ製薬業界に利益をもたらしていないという事でもある。
それとも、これ以外に何か特別の事情でもあるのだろうか?
ところが2010年3月、欧州評議会は、国際的なインフルエンザ・キャンペーンが製薬会社の影響を受けているとの調査を開始。6月には、英国の医学誌BMJの編集長であるフィオナ・ゴッドリーは、調査に基づきWHOを批判、抗ウイルス薬やワクチンを製造している製薬会社とパンデミックに関するWHOアドバイザーとの間の金銭的関係の捜索があったと指摘した。
今回も、事態を冷静に分析する必要があると思う。
AFPによると、日本時間の3月5日午前2時現在、94,810人が新型コロナウイルスに感染、死亡者数は3,245人。香港とマカオを除く中国本土の感染者数は8万270人、死亡者数は2981人。中国以外では、韓国での感染5621人、死亡者32人。イタリアでの感染3089人、死亡者107人。イランでの感染2922人、死亡者92人。そして、日本では287人が感染し、加えて横浜港に停泊している英国のクルーズ船ダイヤモンド・プリンセスで700人余りが感染。死亡者数は国内とクルーズ船あわせて12人である。
The Japanese government has suddenly requested that all public schools in the country be closed for two weeks, to avoid postponing or canceling the Olympics. Not only that, it seeks to eliminate even clusters of people, such as jobs even in healthy prefectures.
However, even if the host country can control the infection, not all participating countries will be the same.
According to the February 28 Associated Press reported, Dick Pound, the oldest member of the IOC since 1978, said the deadline for deciding whether to host the Tokyo Olympics would be until late May. And pointed out, holding in other cities or regional dispersion was difficult, because the preparation period is short. In addition, also expressed a negative view that a few months' postponement too would not be convincing the American television stations that pay the broadcasting rights fee, because it overlaps with the us professional football and basketball seasons. this means that no more COVID-19 coronavirus spread is allowed.
IOC President Bach says it will be held as scheduled. But, this assumes that the WTO does not declare a pandemic. As of March 2, the number of people infected with the new coronavirus exceeded 88,000. the number of infected countries has risen to more than 60 in the world. the first case in Africa was confirmed in Nigeria on February 28. Qatar, Ecuador, Luxembourg and Ireland were also confirmed on the 29th. The first cases were reported on March 1 in Armenia and the Czech Republic. In Germany, the number of infected people doubled on March 1. According to AFP, the Louvre Museum in France, has also closed since March 1, by the staff refused to work. France, which has 130 infected people and two fatalities, has announced a ban on rallying of more than 5,000 people and the closure of schools and religious events in areas where infections are most widespread. The Paris half marathon, scheduled for the day, has been canceled due to concerns about the new coronavirus. And, On March 1, also Italy's Civil Protection Authority reported a surge in the number of people infected with the new coronavirus to 1694, up about 50 percent from the previous day, and the death toll has reached 34 people.
However, the mortality of this COVID-19 is by no high. some people do not get onset. difference from other viruses, that is only not yet developed a vaccine. In other words, that the virus is not yet benefited the pharmaceutical industry.
Or, there any other special reason what besides this?
However, in March 2010, the European Council began investigating that the international influenza campaign was affected by pharmaceutical companies. In June, Fiona Godlee, editor-in-chief of the British medical journal BMJ, criticized WHO based on research. She noted that there were investigation of financial ties between WHO advisors on pandemics with pharmaceutical companies producing antivirals and vaccines.
I think it is necessary to analyze the situation calmly, this time too.
According to AFP, as of 2:00 am March 5, Japan time, in 81 countries and regions, 94,810 people were infected with the new coronavirus the number of deaths is 3,245. Excluding Hong Kong and Macau, the number of infected people in mainland China is 80,270, number of deaths is 2981. Countries other than China, 5621 infected and 32 deaths in South Korea. 3089 infections and 107 deaths in Italy. There were 2922 infections and 92 deaths in Iran. And, in Japan, 287 people were infected. In addition, more than 700 people were infected by the British cruise ship Diamond Princess, which is docked at Yokohama Port. The number of deaths was 12 in Japan and the ship.
【インフルエンザによる日本の年間死亡者数】Japan's annual death toll by influenza
Surprisingly, than in the pandemic year of the new flu, the number of mortals in subsequent years is much higher.
【3月6日現在】As of March 6
ところで、奇妙にシルクロード沿いが目立つようにみえる。どうやら、イランとイタリアが最も顕著な理由は、中国の「一帯一路」と関係がありそうだ。どちらも熱心な参加国である。
The mortality rate is 3.4%. But this decreases as the denominator increases. there are not enough PCR test kits at present, and also some infected people do not develop the disease.
By the way, that seems noticeable along the Silk Road oddly. Apparently, the case I think that the most prominent reason for Iran and Italy is related to China's “One Belt and Road“. Both are participating countries.
【2020年1月の国際収支】January's Balance of payments 2020
3月8日、日本の財務省は1月の国際収支を公表した。この月の国際収支は6004億円の黒字である。
しかし、モノ貿易の収支は▲9851億円の赤字であり、前年同月比で▲151億円の赤字幅拡大である。また、サービス収支も▲1627億円の赤字となった。前年同月比で▲130億円の赤字幅拡大である。これは『その他サービス』の下落によるもので、万年赤字のトランスポート収支だけのせいではない。
なお、旅行収支は2669億円の黒字であり、前年よりも490億円増加している。問題は、次月以降のCOVID-19武漢ウイルスによる影響だ。
On March 8, the Japanese Ministry of Finance announced its balance of payments of January. the balance of payments of this month was a surplus of 600.4 billion JPY.
However, the goods trade balance was a deficit of ▲985.1 billion JPY, a decrease of 15.1 billion JPY year-on-year. Also, the service balance is also a deficit of ▲162.7 billion JPY. Compared to the same month of the previous year, the deficit increased by 13 billion JPY. This is not only the transport balance in always deficit, due to the decline in "other services".
Incidentally, the travel balance is a surplus of 266.9 billion JPY, and it increased by 49 billion JPY from the previous year. The problem is the effect of COVID-19 Wuhan virus from next month.
【感染伝播との相似性】Similarity to infection transmission
EU Member States with Memorandum of Understanding with Chinese Communist Party‘s OBOR (One Belt, One Road) Initiative
日本時間で3月11日、遂にWHOは“パンデミック“を宣言した。これにより、世界のヒト・カネ・モノの流れは遮断されることになる。
On March 11 in Japan time, the WHO finally declared a "pandemic." by this, that would be cut off tourism, money and logistics in the world.
**********************************************************************************
特別寄稿【COVID-19情報共有】COVID-19 Information Sharing
By Prof. Dr. Aki-Hiro Sato
COVID-19情報
横浜市立大学生命ナノシステム科学研究科佐藤彰洋特任教授のCOVID-19(新型肺炎)の感染拡大抑制に関する研究・検討資料内容を共有するページです。
This page shares research and consideration document on the control of the spread of COVID-19 (new type pneumonia) by Professor Akihiro Sato of the Graduate School of Life Nanosystems Science, Yokohama City University.
文責:佐藤彰洋(ahsato@yokohama-cu.ac.jp)
仮訳:Ohmss 井村茂樹
目次 Index
COVID-19(新型肺炎) 拡散メカニズムと対策検討資料 COVID-19 (New type of pneumonia) Diffusion mechanism and countermeasure consideration document
▽感染の種類 Types of infection
▽感染の概念図 Conceptual diagram of infection
▽COVID-19感染拡大のモデル COVID-19 model of infection spread
▽状態推移式 State transition formula
▽COVID-19の数理モデル Mathematical model of COVID-19
▽COVID-19のパラメータ推定値 Parameter estimates for COVID-19
▽感染率低下シナリオのモデル A Model of Infection Rate Reduction Scenarios
▽政策的接触確率低下対応 A political response to reduction for contact probability
▽論点 Arguing point
▽対策が必要な点 Necessary measures
COVID-19(新型肺炎) 拡散メカニズムと対策検討資料
COVID-19 (New type of pneumonia) Diffusion mechanism and countermeasure consideration document
2020年3月13日版 March 13, 2020 version
COVID-19(新型肺炎)による感染拡大は経済社会的な多くの損失を発生させる。そのため、このウイルスの感染のメカニズムを理解し、これに正しく当たることにより、社会全体で協力して感染を抑制することは、現在、極めて重要な課題となっている。
The spread of infection caused by COVID-19 (new type pneumonia) causes many loss sprees on economic and social. Therefore, to understand the mechanism of infection of the virus, by hitting this correctly, to suppress the infection in cooperation in society as a whole, it has become a very important issue now.
この検討資料は、COVID-19の感染感染拡大を抑制するための方法と課題について検討した内容をまとめたものである。情報の追加や新しい知見が得られるたびに情報の更新を行っていく。
This consideration document summarizes the contents of studies on methods and issues for controlling the spread of COVID-19 infection. Information is updated whenever information is added or new knowledge is obtained.
不明点や表現の分かりにくい場合は、お問合せから質問頂きたい。より多くの質問を得られることにより、検討内容の改善をすすめることで、多くの人に分かりやすい内容とすることを試みたい。どうぞ、積極的に質問頂き、この全社会的な課題について対応ができる検討資料となるようにご協力頂きたい。
If you have any questions or it is difficult to understand the expression, please ask a question from the inquiry. I would like to try to make the contents easy for many people to understand by getting more questions and improving the study contents. We ask you to actively ask questions and cooperate with us so that we can provide a study material that can respond to all social issues.
https://www.fttsus.jp/covinfo/
▽感染の種類 Types of infection
今回のCOVID-19(新型肺炎)の感染の種類として以下3種類が支配的であるとみられている。
Type of infection of THIS COVID-19 (new type pneumonia) it is believed that the following three types are dominant.
・飛沫感染 Spray infection
・飛沫核感染(埃塵感染)Spray nucleus infection (dust infection)
・接触感染 Contact infection
飛沫感染について政府専門家会議では、以下のことを指摘している。
The expert meeting of the Government of Japan pointed out the following about spray infections.
https://www.mhlw.go.jp/stf/seisakunitsuite/newpage_00008.html
1.一般的な状況での感染経路は飛沫感染、接触感染ですが、閉鎖空間で、近距離で多くの人と会話をするなどの一定の環境下であれば、咳やくしゃみ等がなくても感染するリスクがあります。
In general circumstances, the path of infection is a splash infection or a contact infection. but in the closed space, there is a risk of infection even if there is no cough or sneeze in a certain environment, such as talking with a lot of people at a short distance.
2.また、感染力は事例によって様々で、一部に、特定の人から多くの人に感染が拡大したと疑われる事例がある一方で、多くの事例では感染者は周囲の人にほとんど感染させていません。
Also, the infectivity varies depending on the case. in some cases, the infection is suspected to have spread from a particular person to many people. on the one hand, in many cases, the infected people has hardly infected to the people around.
3.さらに、罹患しても軽症であったり、治癒する例も多いですが、重症度としては、季節性インフルエンザと比べて高いリスクがあります。特に、高齢者・基礎疾患を有する者では重症化するリスクが高いです。
Moreover, there are many cases where it is mild or cured even if infected. But, there is a higher risk of severity than seasonal influenza. In particular, there is a high risk of becoming severe in the elderly and those with underlying diseases.
また、政府専門家会議では以下の「3つの条件の重なり」を特に避けることを強く呼びかけている。
In addition, the Japanese government expert meeting has strongly called for avoiding the following "overlap of the three conditions".
https://www3.nhk.or.jp/news/special/coronavirus/view/
1.換気の悪い密閉空間
2.多くの人が密集
3.近距離での会話や発声
1.Closed space with poor ventilation
2.Dense by many peoples
3.Conversations and utterances of close range.
これらに加えて、以下の点について追加で検討が必要と考える。
In addition to these, I think that additional consideration is necessary for the following points.
短時間でも閉鎖空間内では、埃塵に付着して感染を広げる危険性について検討が必要とみます。マスクを着用する、外気を入れる、空気清浄機による埃塵量の低減が対策として有効とされるのはこの理由のためと推察しています。屋内におて埃塵を低減するための措置をとることは感染率低下に効果があると考えてよいでしょう。
Even in a short-term closed space, it is necessary to consider the risk of spreading the infection by adhering to dust. I think that it is this that the reduction of the amount of dust by wearing a mask, ventilation, and air purifier is effective as a countermeasure. It may be considered that taking measures to reduce dust in the indoor area is effective in reducing the infection rate.
接触感染のリスクを低減させるため、感染者または不特定多数が触れたものの表面にウイルスが付着していると考えた方がよいです。金属やプラスチック表面では1週間はウイルスの活性が保持されると考えられています。ドアノブ、照明のスイッチ、床、リモコン、エレベーターのボタン、手すりなどはこまめに除染することで、感染率低減に効果的な作用があると考えます。
To reduce the risk of contact infection, it is better to consider that the virus has adhered to the surface of what the infected person or unspecified majority touched. It is believed that the virus activity is retained for one week on metal and plastic surfaces. We believe that frequently decontaminating doorknobs, lighting switches, floors, remote controls, elevator buttons, and handrails will effectively reduce the infection rate.
▽感染の概念図 Conceptual diagram of infection
未罹患者、不顕性感染者、感染者、回復者、死亡者があります。感染を広げる恐れがあり、環境内に存在している感染者と、感染が特定され隔離され医療を受けられる状態にある感染者の2種類があります。ここで、環境とはウイルスに感染しているが、医療にかかることなく日常生活をおくっている状況を指します。例えば、COVID-19に感染しているがごく普通の風邪と認識して生活している状況や、医療にかかる前に肺炎が重症化して死亡後に感染していたことが確認される状況です。また、感染者はいずれは回復者または死亡者のとちらかの状態となります。
There are uninfected people, subclinically infected people, infected, recovered people, and dead people.There are two types of infection peoples, those who are present in an environment that can spread the infection, and those who have been identified, isolated and ready to receive medical care.The environment here refers to the situation where you are infected with the virus but live your daily life without medical treatment.For example, a situation in which a COVID-19 is infected but living by misidentifying it as a very common cold or it is a situation that it was confirmed that pneumonia became severe before medical treatment and was infected after death. In addition, infected people will eventually be either recovered people or dead people.
感染拡大を抑制するための取組として以下の3点が挙げられます。
There are following three ways to suppression the spread of the infection.
1.健康な人が感染しないための対策(政策)
2.感染を広げることを抑制し、対策をする人が感染しないようにする対策(公衆衛生)
3.罹患者の回復率を高め、死亡率を低下させる治療(医療)
1. Measures for healthy people not to be infected (policy)
2. Measures to control the spread of infection and prevent those who take the measures from becoming infected (public health)
3. Treatment to increase recovery and reduce mortality in infected individuals (medical)
▽COVID-19感染拡大のモデル COVID-19 model of infection spread
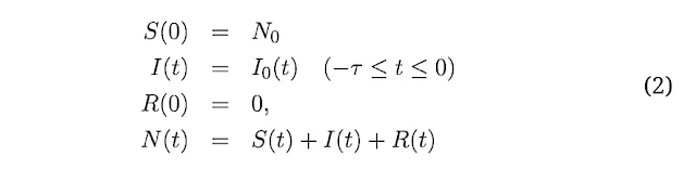
図に示すようにヒトBとウイルスAとを考える。更に、ヒトBの状態として3つの状態を仮定する。Sは未罹患の状態、Iは罹患の状態、Rは罹患の状態から回復または環境中から除去された状態を指す。環境中から除去された状態とは、感染者が未罹患状態と接触することがないように隔離された状態および、死亡して接触機会がなくなった状態を含む。
Consider a people B and virus A as shown in the figure. Furthermore, it assumes three conditions as a condition of people B. S is uninfected condition, I is the condition of infection, R indicates a state that has been removed from the recovery or environment from the infected condition. the condition removed from the environment, the infected people is isolated condition so as not to come into contact with the uninfected condition, or including a condition in which by death the chance of contact is no longer.
未罹患状態SのヒトB(S)がウイルスAと接触することで、罹患状態Iに変化してB(I)となる。このことを
When people B (S) in uninfected state S comes into contact with virus A, it changes to diseased state I and becomes B (I). This write as follows.
B(S)+A→B(I)
と表記する。罹患状態IであるヒトB(I)は、n個のウイルスAを体外に放出する。このことを
People B an infectious condition I (I) is releases n virus A out of the body. This write as follows.
B(I)→B(I)+nA
と表記する。罹患状態であるヒトB(I)は未罹患状態Sまたは回復状態Rになり得る。このことを
Infected condition people B (I) may be change to uninfected condition S or recovered condition R. This write as follows.
B(I)→B(S) or B(I)
と表記する。回復状態RとはウイルスAに対して抵抗力を持ち、二度と罹患状態Iにならない状況である。状態Sへの遷移は、再度感染することがあり得ることを意味している。今回のCOVID-19(新型肺炎)で回復後免疫を獲得できるかについてはまだ十分にわかっていない。以上をまとめると状態方程式となる。
The recovery condition R has resistance to virus A, a condition that does not become infection state I again. Transition to condition S means that it may be infected again. It remains to be seen whether COVID-19 will be able to acquire immunity after recovery. To summarize the above, it becomes the condition transition formula.
▽状態推移式 Condition transition formula
B(S) + A → B(I)
B(I) → B(I) + nA
B(I) → B(S) or B(R) 回復後免疫を獲得するかは不明 Unclear whether to acquire immunity after recovery
▽COVID-19の数理モデル Mathematical model of COVID-19
感染者数や回復者数、死亡者数がどのように時間発展するかを調べることにより、流行が拡大しているか収束していくのかを判断することができる。その為、それらの人数の時間発展がどのように変化をするかについて、その時間発展を遅れ付SIRモデルによりモデル化してみる。
By examining how the number of infected, recovered, and dying progresses over time, it is possible to determine whether the epidemic is spreading or converged. Therefore, I try to model by "SIR model with delay" about how those numbers change over time.
COVID-19のSIRモデルの変数として、時刻tにおける上述のB(S)の人数をS(t)、上述罹患状態B(I)にある人数をI(t)、上述回復した状態にあるB(R)の人数をR(t)と記述する。
COVID-19 SIR model variables were write as follows, the number of people in B(S) at time t is S(t), the number of people in the above-mentioned Infected condition B(I) is I(t), the number of B(R) in the above-mentioned recovered condition is R(t).
・S(t): 未感染の状態 Uninfected condition
・I(t): 感染した状態 Infected condition
・R(t): 回復または除去された状態 Recovered or removed condition
潜伏期間(3日~14日), 症状発症(1週間), 重症化(発症後2週間)を経てから感染が疑われて検査機会を獲得して、感染が確認できる。そのため、遅れ時間τは14日~21日とするのが妥当(接触事象が発生してから実際に罹患して感染が確認できるようになるまで2週間以上必要)である。
After the incubation period (3 to 14 days), the onset of symptoms (1 week), and the severe (2 weeks after onset), the infection is suspected and the test opportunity can be acquired. And the infection can be confirmed. Therefore, it is reasonable that the delay time τ is 14 days to 21 days. (It takes more than two weeks from the time the contact event occurs until the infection can be confirmed by actually affecting)
上述の状態推移式を簡略化して、未罹患者と感染者との直接的な接触による感染だけを特にモデル化してみる。状態推移式の最初の2式を足し合わせてみる。
By simplifying the above-described state transition formula, try to model only infection by direct contact between non-infected and infected people in particular. The first two equations of the state transition formula were add them together.
B(S) + A + B(I) → B(I) + B(I) + nA
ウイルスAの数nを無視して、ウイルスAを両辺から消去することで、以下の推移式が得られる。
By erasing the virus A from both sides ignoring the number n of the virus A, the following transition formula is obtained.
B(S) + B(I) → B(I) + B(I)
結局、以下の単純化された状態推移式としてまとめることができる。
After all, it can be summarized as the following simplified state transition equation.
単純化された状態推移式 Simplified state transition formula
B(S) + B(I) → B(I) + B(I) (w.p. α )
B(I) → B(R) (w.p. β )
ここで、未罹患状態のヒトと感染しているヒトが接触して感染する可能性は未罹患者と感染者の人数の積に比例し、総数が大きいほどそれらのヒトの直接接触の可能性が低くなるため、感染しにくくなる。このとき、単位時間当たりに直接接触したヒトのうち、どの程度の割合で感染するかの可能性を感染率αと呼ぶ。また、感染者が回復または死亡する割合は単位時間当たりある一定の割合であり、この割合を回復率βと呼ぶ。このことをそれぞれの人数S(t), I(t), R(t)の時間発展として以下の常微分方程式として表現する。ここで、非感染者と感染者が接触して感染する可能性は、非感染者と感染者との人数の積に比例する。
Here, the possibility that a non-infected person and an infected person will be infected by contact is proportional to the product of the number of non-infected persons and the number of infected persons. and the greater the total number, the lower the possibility of direct contact and the less likely it is for infection. At this time, the possibility of infection among persons who have directly contacted per unit time is called the infection rate α. In addition, the fixed rate per unit time of the rate at which infected people recover or die is called the recovery rate β. This expressed as the following ordinary differential equation as the time evolution of each number of people S (t), I (t), R (t).
遅れ付SIRモデル SIR model with delay
▽COVID-19のパラメータ推定値 Parameter estimates for COVID-19
感染率αと回復率βとを実際のデータからフィッテングにより推計してみる。感染者数の推移のデータは国内感染状況(NHK)まとめから取得した。
The infection rate α and the recovery rate β are estimate from actual data by fitting. Data on the number of infected people was obtained from the National Infectious Status (NHK) Summary.
https://www3.nhk.or.jp/news/special/coronavirus/
日本における2月16日から3月8日までの感染者数のデータを使い、3月1日から3月8日までの感染者数の時系列とモデル計算値との二乗誤差をできるだけ小さくできるように 感染率αと回復率βの推定を行った。各種の仮定されるべきパラメータは、以下のように日本国内における各種の報告値を用いて、
Using data from february 16 to March 8 in Japan, the infection rate α and recovery rate β were estimated so that the square error between the time series and the model calculation value of the number of infected patients from March 1 to March 8 was reduced as much. Parameters to be assumed were assumed using various reported values in Japan as follows.
・基本再生産数 R0: 3.0 (仮定) Basic reproduction number R0: 3.0 (assumed)
・潜伏期間+症状が発見されるまでの時間差 τ: 14 日 Incubation period + difference in time until symptoms are detected τ: 14 days
・死亡率 3% (WHO報告値)Mortality 3% (reported by WHO)
を仮定した。ここで、遅れSIRモデルでは一般に基本再生産数R0と感染率α、回復率βとの間には媒介変数aを導入して以下の関係が成り立つことが知られている。
In the delay SIR model here, generally basic reproduction number R0 and infection rate α, between the recovery rate β is known that the following relationship is maintained by introducing the mediated variable a.
The square error with respect to the daily time series data I_o (t) of the number of infected people and the numerical simulation value \ hat {I} (t; \ alpha, \ beta) calculated from the model is defined below.
この二乗誤差E(\alpha, \beta)はパラメータ\alphaと\betaの関数であるが、自己再生産数R0=3.0と仮定することにより、モデルの調整は媒介変数aだけで、パラメータ\alpha, \betaの推計が可能となる。その結果、二乗誤差は媒介変数aのみの関数E(a)となる。二乗誤差ができる限り小さくなるaの値から、パラメータ推定値として以下の値を得た。
This square error E (\ alpha, \ beta) is a function of the parameters \ alpha and \ beta, but assuming the self-reproduction number R0=3.0, the adjustment of the model is performed only with the parameter a and the parameter \ alpha, \ beta can be estimated. As a result, the square error becomes a function E(a) having only the parameter a. From the value of a where the square error is as small as possible, the following values were was obtained as parameter estimation values.
・感染率 Infection rate α: 0.787
・回復率 recovering rate β: 0.055
数値シミュレーションで計算される3月1日から3月31日までの感染者数の時間発展は以下のとおりである。ここで、3月1日から3月8日の14日前の感染率がそれ以前の値のままで継続していると仮定している。
The time passage of the number of infected people calculated by numerical simulation from March 1 to March 31 is as follows. Here, it is assumed that the infection rate before March 8 from March 1 continues to remain at a previous value 14 days.
Numerical simulation result ○ and actual number of infected people as of March 10, 2020 ● (NHK summary, excluding cruise ships, etc.)
2月27日から政府の要請により、大規模イベントの自粛が始まり、3月3日から小中高等学校の休校措置がとられたため、接触確率の低下によりその後の感染率は低下していることが期待される。
At the request of the government, the government began self-restraint of large-scale events from February 27, and the school closure measures of the elementary, junior high and high schools were taken from March 3. by this, contact probability is reduced, be expected that the subsequent infection rate is reduced.
その影響が感染者数の増減として確認できるのは、早くて3月10日からである。3月10日までの全国での感染者数の実測値は、数値シミュレーションより3月9日から下側に外れている。このことから、2月27日から始まったイベント、公共施設の一斉休館による、接触頻度の低減措置は感染率低下に効果があったとみることができそうである。
The effect can be confirmed as an increase or decrease in the number of infected, from March 10 at the earliest. The measured figures for the number of infected people nationwide up to March 10 have fallen below from March 9 compared to numerical simulations. Therefore, events that began on February 27, by the simultaneous closure of public facilities, measures to reduce the contact frequency is likely to be seen to have been effective in reducing the infection rate.
更に、3月17日頃からは顕著に感染者数が、この数値シミュレーション結果より下側に推移していればイベント自粛と小中高等学校の一斉休校措置により、ヒトの直接接触の頻度が減少したことで、感染率の低下が誘導できたと判断できる。
Furthermore, if the number of infected people from around March 17 has significantly remained below this numerical simulation results, by reducing the frequency of direct contact by the simultaneous closure of the event cancellation and elementary and junior high school reduction in infection rate it can be determined that was induced.
▽感染率低下シナリオのモデル A Model of Infection Rate Reduction Scenarios
感染率αを対策の導入により低下させることができるとする。政策的な対策により、接触確率を低下させるや、消毒の徹底により接触感染を減らす、罹患者の適切な把握と処置などを行い、どの程度まで感染率を低下させると感染者数は減少に転じるかを検討する。
Assume that the infection rate α can be reduced by the introduction of measures. Reduces the probability of contact, reduce the contact infection by thorough disinfection, perform such appropriate grasp and treatment of the infected people. by this policy, we will examine how much reduction in infection rate will lead to a decrease in the number of infected people.
感染率低下シナリオモデルにおける変数
Variables in the scenario model on reduced infection rates
・S(t): 未感染の状態の人数 Number of people uninfected
・I(t): 感染した状態の人数 Number of people infected
・R(t): 回復または除去された状態の人数 Number of people recovered or removed
・α(t) = α0 Vul(t) : 感染率(ここで、α0 は前述の感染率の推定値である)Infection rate (where α0 is the estimated value of the infection rate mentioned above)
対策により、Vul(t)を1以下に変更できると仮定する。具体的には、ヒトの接触頻度を低下させる政策的または公衆衛生上の措置である。
Assumed that Vul (t) can be changed to 1 or less by a countermeasure. Specifically, it is a policy or public health measure that reduces the frequency of human contact.
・テレワークや時差出勤などの直接接触を低減させる措置
・Measures to reduce direct contact such as telework and staggered work
・イベントの自粛または禁止による接触回数を減らす措置
・Measures to reduce the frequency of contact by self-restraining or events banning
・移動制限や外出禁止の強制力を有する対応
・Compulsory measures of Movement restrictions and Prohibited going out
・学校や公共施設の閉鎖による人が集まりにくくなる措置
・Measures that make it difficult for people to gather due to closure of schools and public facilities
・大規模な消毒活動の実施など
・Implementation of large-scale disinfection activities etc.
At this point, let us introduce a parameter q and consider how small Vul (t) can reduce the number of infected people.
感染率低下シナリオの数値シミュレーション結果Numerical simulation result of infection rate reduction scenario
感染率αを現状の3% (q=0.03) まで2020年3月15日から低下させることができた場合、3月30日頃から感染者数を低減でき、6月初旬には収束が可能。
If the infection rate α can be reduced to the current level of 3% (q=0.03) from March 15, 2020, the number of infected people can be reduced from around March 30, and convergence is possible in early June.
If the infection rate α can be reduced to the current 6% (q=0.06) from March 15, 2020, it is expected that the number of infected people will be reduced from around March 30. Thereafter, the number of infected people gradually decreases.
感染率αを現状の7% (q=0.07) に2020年3月15日から低下させることができたとしても、感染者数を低減できない。
Even if the infection rate α can be reduced to the current level of 7% (q=0.07) from March 15, 2020, the number of infected people cannot be reduced.
感染率αを現状の8% (q=0.08) に2020年3月15日から低下させることができたとしても、感染者数を低減できない。
Even if the infection rate α can be reduced to the current level of 8% (q=0.08) from March 15, 2020, the number of infected people cannot be reduced.
感染率αを現状の10% (q=0.1) に2020年3月15日から低下できたとしても、感染者数を低減することはできない。
Even if the infection rate α can be reduced to the current level of 10% (q=0.1) from March 15, 2020, the number of infected people cannot be reduced.
感染率を低下させるために誰もができる最も簡単な対応方法は、ヒトの直接接触の機会をできるだけ小さくすることである。例えば、これまで1週間に50人の人と会っていたヒトがいたとすると、これを6%まで削減して、1週間3人までとしか直接接触を行わないようにすれば、実質的な感染率は6%程度になると期待される。
The easiest way for anyone to reduce the infection rate is to minimize the chance of direct human contact. For example, if there have been 50 people per week, reducing this to 6% so that only three people a week can make direct contact, the real infection rate is expected to be about 6%
また、感染者に対して専門の対応を行う必要のある人は、マスクおよび防護服を着てその可能性のあるヒトと接触するたびに自身の全身消毒をくまなく行うなどのウイルスを除去しながら、作業を行うことが挙げられる。
And, a person who needs to take a specialized response to an infected person shall perform work while removing the virus, such as performing complete full general disinfection each time people comes into contact with a person who may be infected wearing a mask and protective suit.
また、食事を行う場合は常に目の前で加熱してから摂取することでウイルスを経口摂取する可能性が減ると予想される。
Also, when performing a meal is expected to reduce the possibility of oral ingestion of the virus by ingesting after heating always in front of the eyes.
これらの対応を永遠と行う必要はなく、多くの人が共同して感染率をこれまでの6%以下に保つ行動を2週間以上継続できれば、感染者数の減少が起こり始めると期待される。そして、一旦感染者数がほぼいない状況となれば、以前のような生活を取り戻すことが可能である。
These actions don't have to be done forever. If many people can work together to reduce the infection rate to less than 6% for more than two weeks, it is expected that the number of infected people will begin to decline. And if the number of people infected become to almost gone will be possible to recover previous lives.
▽政策的接触確率低下対応 A political response to reduction for contact probability
・感染症法(感染症の予防及び感染症の患者に対する医療に関する法律、平成二十六年法律第百十五)は知事の発令である程度の社会的な活動に制限をかけることができるので、現在は、この法律の運用をもって政策的に接触確率を下げることを第一に考えるべき
・Japanese infectious disease law can restrict social activities to some extent by the governor's order. Currently, needs to consider reducing the likelihood of contact in a policy-based manner.
・接触感染から発症、重症化による検査機会の獲得により陽性反応検知まで通常2週間から3週間を要しているため、原因と結果との時間が遠く、対応するには原因である感染確率(接触確率)をどこまで低下させることができるかが重要な点である(現在見えていることは2週間~3週間前の接触感染により発生しているものである)
・Onset after contact infection and an opportunity for testing after becoming serious, it usually takes two to three weeks to detect a positive response. Time with cause and consequence is far away. In order to cope, it is important point whether the probability of infection (contact probability) can be reduced to what extent. (What we are seeing now is that it was caused by contact infection two to three weeks ago.)
・接触確率を低下させることにより感染確率低下から実際に感染者の減少が目で見えて判明するまで、2週間から3週間を必要とするため、早めの対処が効果的であると伴に、応答まで最低2週間は政策を維持する必要がある
・From a decrease in the probability of infection due to lowering the probability of contact, it takes two to three weeks for the actual decrease in the infected person to be visible. Early response is effective. At the same time, it is necessary to maintain policy for at least two weeks before results are produced.
▽論点 Arguing point
・組織内で感染が疑われる構成員が発生した場合における対応方法や、感染が疑われる職員の自宅待機のための管理方法
・How to respond when suspected infection occurs in the organization, and the management method for the staff of the suspected infection to wait at home.
・PCR検査の検査結果の判断、感染の疑いがある構成員に対する業務復帰の基準などについて
・Judgment of PCR test results, standards for returning to work for suspected infection members, etc.
・組織内で感染者がでて感染が組織内で広がっていく可能性のある状況において、建物の消毒の方法、組織内で感染を抑制しながら、必要な業務を実施するための事業継続計画の策定とその管理方法についてアドバイス
・To advise how to disinfect buildings and how to develop and manage business continuity plans to perform necessary tasks, while controlling infection within the organization in situations, where infected people in the organization may spread within the organization.
・感染が今後拡大していった場合の公衆衛生上の対応方法についてと、そのプロトコルについて知識提供
・Provide knowledge on how to address public health in the event of an outbreak and its protocols.
・治療の観点よりは公衆衛生上の観点を地方自治体、企業は求めている
・Local governments and companies are seeking a public health perspective rather than a treatment perspective.
・除染方法、感染予防、感染抑止の方法についてアドバイスをしてもらえる専門的知識を探している
・Looking for expertise to give advice on decontamination methods, infection prevention and control methods.
▽対策が必要な点 Necessary measures
・今後COVID-19の組織内集団感染の発生により、事業継続検討案件が世界中で多発すると考える
・Due to the mass outbreak of COVID-19 within the organization, it is expected that there will be many cases where business continuity is considered worldwide in the future.
・業務継続のための対応方針と連絡体制について拡充が必要
・It is necessary to expand the response policy and communication system for business continuity.
・今回の感染症拡大ではこれまで通常行われてきた業務や人間社会的な活動を通じて感染が拡大している
・The spread of infectious diseases has spread through the usual work and human-social activities.
・災害対策のように対策本部を構成し、人が集まって感染症対策を行おうとすることは、移動および直接接触による対策本部内での感染確率を高める可能性が高い
・When the response headquarters such as disaster countermeasures is assembled and infectious disease measures are taken, the possibility of infection increases within the response headquarters by transfer or direct contact.
・ICTによる情報共有、連絡体制、感染拡大抑制のための活動体制(手法、ロジスティックス含む)の構築が最も重要な政策的な課題
・The most important policy issues are ICT information sharing, communication, and establishment of an activity system to control the spread of infection (including methods and logistics).
**************************************************************************** that's all
【3月12日現在】As of March 12
3月12日のニューヨーク株式市場では、ダウ工業株30種平均が終値ベースで、過去最大となる2300ドルを超える下げ幅を記録した。これにより3月13日の東京株式市場の日経平均株価でも取引開始直後から大きく下落。終値こそ前日比1128円安の1万7431円台で引けたものの、取引時間中には一時1800円超の値下がり幅となり、取引時間中としては1990年以来、約30年ぶりの記録的な下げ幅となった。
On March 12, the New York stock market fell more than 2300 USD, the largest ever for the Dow Industrial Average, on a closing basis. In response to this, the Nikkei Stock Average plunged sharply on the Tokyo stock market on March 13, just after the start of trading. Although the closing price closed at 17,431 JPY, down 1128 JPY from the previous day, the price fell by more than 1800 JPY during trading hours, marking the first record decline in about 30 years since 1990 during trading.
【見えてきた"クラスター"】The "cluster" that has come into view
As of March 15, It has not occurred in 37 prefectures including Mie Prefecture.
【3月17日現在】As of March 17
【朗報】A good news
3月17日の豪州ABC-netによると、豪州の研究グループが、身体の免疫系がコロナウイルスCOVID-19とどのように戦うかを発見した。これは、身体が免疫を与えて反撃し、回復できることを示す最初の論文である。調査結果は、科学者が効果的なワクチンを開発するのに役立ち、新しい治療法を特定するのに役立つ。身体の免疫系は、インフルエンザと同じようにコロナウイルスとも戦うのだ。
https://www.abc.net.au/news/2020-03-17/research-how-bodys-immune-system-fights-coronavirus-covid-19/12059266
According to the ABC-NET AU of March 17, Australian researchers discover how body's immune system fights coronavirus COVID-19. this is the first paper that shows the body can give immunity and fight back and recover. the findings will help scientists develop an effective vaccine, and it could also help identify new treatments. the body's immune system fights coronavirus in the same way as the flu.
【2020年2月のインバウンド&アウトバウンド】Inbound & Outbound of February 2020
【日経平均株価の推移 3月19日現在】Changes of Nikkei Stock Average As of March 19
【東京五輪1年延期】The 2020 Olympic Games will be postponed by one year
国際オリンピック委員会(IOC)のディック・パウンド委員は23日、米紙USAトゥデイのインタビューで、2020年東京五輪は、1年延期することで決定したと述べた。
パウンド氏は同紙に対し、「IOCが持ち合わせている情報をもとに、東京五輪の延期が決定した」「今後の進め方はまだ決まっていないが、東京五輪が7月24日に開幕しないのは確かだ」とし、「発表は段階的に行う」「我々は東京五輪を延期し、それに伴うあらゆる影響への対応を始めるだろう。影響は計り知れない」という。
ところが、3月24日夜、安倍首相とIOCのバッハ会長は電話会談後、選手や関係者、国際社会の健康を守るために日程変更の必要があるとの結論に達したと発表。遅くとも、来夏までには開催する方針で合意したことを明らかにした。
このタイムラグは、欧米のステークホルダーに対する配慮だろうか?
The 2020 Olympic Games will be postponed by one year because of coronavirus, says International Olympic Committee member Dick Pound.
"On the basis of the information the IOC has, postponement has been decided," Pound told USA today. "The parameters going forward have not been determined, but the Games are not going to start on 24 July, that much I know."
"It will come in stages," he said. "We will postpone this and begin to deal with all the ramifications of moving this, which are immense."
However, on March 24 night, Prime Minister Shinzo Abe and IOC President Bach announced that they had come to the conclusion that they needed to be rescheduled to protect the health of athletes, officials and the international community. By this, it was revealed that it had agreed on a policy to hold it by next summerlatest, at the latest.
This time-lag is a consideration to Western stakeholders?
【日本の各自治体が公表した感染者数50人以上の都道府県(2020年3月24日現在)】50 or more infectious people Prefectures announced by each local governments in Japan (As of March 24, 2020)
【国連世界観光機関グローバル観光危機管理委員会】UNWTO the Global Tourism Crisis Management Committee.
国連世界観機関は3月24日、新型コロナウイルスからの回復に向けた議論「グローバル観光危機管理委員会」を、バーチャルミーティング形式で実施した。
参加したのは、UNWTO加盟国、世界保健機関(WHO)の代表者、UNWTOの加盟団体代表、国際航空運送協会(IATA)のアレクサンドル・ド・ジュニアック事務局長、クルーズ・ラインズ・インターナショナル・アソシエーションのアダム・ゴールドステイン会長、国際空港評議会(ACI)のアグネラ・ギテンズ事務局長、世界旅行ツーリズム協議会(WTTC)のジェフ・ポール氏らである。
ミーティングでは、新型コロナウイルスからの回復に向けて、健康管理の勧告に従いながら、国際的な協力関係が必要との認識で一致。官民の観光関連団体に加え、各国の観光当局との政治的認識の共有と協力が不可欠とした。
国連世界観光機関では今後、回復に向けた取り組みの進め方についての指針を示す予定であり、この中には、各国政府や観光関係当局に対し、観光産業への新型コロナウイルスの影響を緩和し、回復に向けた行動を加速させる施策が含まれる。そして、危機管理委員会のミーティングでは、世界中のイノベーターとの協業によって観光分野に新たなイノベーションを起こし、観光産業を復活させるだけでなく、将来の持続可能な産業にしていく必要性も話し合われた。
On March 24, the UNWTO held a virtual meeting of the "Global Tourism Crisis Management Committee" as a discussion on recovering from the new coronavirus.
The participants is, UNWTO member countries, WHO representatives, Representative of the member organizations of UNWTO, Alexandre de Junior of IATA Executive Director, Adam Goldstein president of the Cruise Lines International Association, Agnella Gittens of ACI Executive Director, and Jeff Paul of WTTC.
At the meeting, they agreed that international cooperation was needed in accordance with health care recommendations to recover from the new coronavirus. in addition, to public and private tourism organizations said it was essential to share and cooperate with tourism authorities in each country.
From now on, the UNWTO will give guidance on how to proceed with recovery efforts. and this includes measures to ease the impact of the new coronavirus on the tourism industry and to accelerate action toward recovery for governments and tourism authorities. And, in the Crisis Management Committee meeting, they discussed the need not only to revive the tourism industry but also to make it a sustainable industry in the future by collaborating with innovators around the world to create new innovations in the tourism sector. Don't lose.
【ロックダウンはCCPの思うつぼ】Lockdown is a CCP conspiracy
アメリカのコロナウイルスによる死亡率は1.9%だと言われているが、分母はもっと高く、死亡率はH1N5インフルエンザよりもはるかに低い筈である。感染は必ずしも疾患を引き起こすわけではなく、PCR検査を受けていない多くの潜在的な感染もあるに違いない。経済活動を止めてはいけないのだ。社会に影響を与える政策は、感染者数ではなく死者数によって決めるべきである。
何故ならば、CCP(中国共産党)が世界経済を掌握しようとしているからである。最早、これは経済による民主主義と独裁との世界大戦だ。
Because, CCP is trying to seize the global economy. no longer, this is a world war by economy of the democracy vs dictatorship.
【3月27日現在】As of March 27
3月27日のロシア・コロナウイルス感染予防本部によると、ロシアの感染症の症例数は1日で196人増加、合計1,036人となった。うち、モスクワでは1日で157件の感染が確認された。
‘また、同日、陽性患者1人の死亡を確認。現在、死者数は3人となった。
According to the Russian Coronavirus Infection Prevention Headquarters on March 27, the number of cases of infectious diseases in Russia increased by 196 in a single day. By this, infected total became to 1,036 people. Among them, 157 infections were confirmed in Moscow in a single day.
Also, in the same day, the death of one patient who tested positive for coronavirus was confirmed. The death toll has now been three.
【日本の各自治体が公表した感染者数50人以上の都道府県(2020年3月27日現在)】50 or more infectious people Prefectures announced by each local governments in Japan (As of March 27, 2020)
In Tokyo, soared as soon as the Olympics were postponed. Hokkaido is in 2nd place due to slowdown. 3rd is Aichi Prefecture. Osaka is 4th.
クルーズ船を除いた日本国内での致死率は3.3%となるが、未発症=実感染者数=分母はもっと多いはずである。
The fatality rate in Japan excluding cruise ships become 3.3%, but I don't know how many people tested. I think it the actual number of unonset = infected people = the denominator should be higher.
**********************************************************************************
COVID-19情報
横浜市立大学生命ナノシステム科学研究科佐藤彰洋特任教授のCOVID-19(新型肺炎)の感染拡大抑制に関する研究・検討資料内容を共有するページです。
This page shares research and consideration document on the control of the spread of COVID-19 (new type pneumonia) by Professor Akihiro Sato of the Graduate School of Life Nanosystems Science, Yokohama City University.
文責:佐藤彰洋(ahsato@yokohama-cu.ac.jp)
仮訳:Ohmss 井村
東京都の現状分析 Analysis of the current situation in Tokyo
2020年3月27日版より
From the March 27, 2020 edition
東京都の感染者確認数の急増をうけ、緊急性が極めて高いと判断し、個別に、確率的遅れ付SIRモデルにより直近までのデータを使ったパラメータ推計を行いました。
In response to the rapid increase in the number of confirmed people in Tokyo, the urgency was determined to be extremely high, and parameter estimation was carried out individually by SIR model with probation by the most recent data.
感染率変動モデルにより推計した結果、3月10日からそれ以前より感染率が10倍の値で極めてよく適合ができました。すでに3月10日からそれ以前(3月9日まで)と比較して感染率10倍でCOVID-19の蔓延が発生していたとすると、ここ数日の感染者確認数の急上昇が説明することができます。この10倍の感染率が3月10日以降で確認される理由としては、海外からの帰国者が持ち込んだ欧米で流行を広げている感染力の極めて高いこれまで日本国内で確認されていたのとは異なるウイルスの2次感染、3次感染が考えられます。スペインとドイツの感染者数時系列で推計される感染率は日本国内で確認される値とけた違いに大きな値が推計されています。
As a result of estimating the infection rate variation model, the infection rate was 10 times higher than before March 10, and it was able to be quite compatible. If the prevalence of COVID-19 had already occurred from March 10 to the previous (until March 9), the number of infections confirmed in the last few days can be explained. The reason why this 10-fold infection rate is confirmed after March 10 is that secondary infection or tertiary infection by the virus with extremely strong infectious power prevalent in Europe and The United States brought in by returnees from overseas considered, different from what has been confirmed in Japan so far. The infection rate estimated in the number of infected people in Spain and Germany is estimated to be significantly greater than the confirmed values in Japan.
また、3月10日から現時点までこの感染率で今後の感者数の予測計算を行い14日後までに確認されると推計される感染者数を計算することで、すでに、1200名程度が東京都内で罹患または発症していると概算します。
In addition, I estimate that about 1,200 people are affected or onset already in Tokyo by calculating the number of infected people estimated to be confirmed by 14 days after this infection rate is calculated from March 10 to the present.
本日、今すぐに対応しても、すでに罹患または発症している1200名の感染者が今後14日間にわたり確認され続けることを意味します。
Today, even if we respond soon, it means that 1,200 infected people who have already been affected or developed will continue to be identified over the next 14 days.
本日から現状の18%レベルまでのヒトの直接接触頻度を低下させる社会的距離戦略を全ての人が取り、それを14日間以上にわたり継続することで、東京都において、14日後から感染者数の減少を確認することができる計算結果となりました。
From today, everyone adoptd a social distance strategy that reduces the frequency of human direct contact to 18% of the current level, and by continuing for more than 14 days, it could be calculate that a decrease in the number of infected people in Tokyo will be confirmed after 14 days.
・人口 13,823千人 (2018年10月現在 総務省統計局公表都道府県別人口推計2018年10月概算値)
・Population 13,823 thousand (As of October 2018 Population estimate by prefecture published by Statistics Bureau, Ministry of Internal Affairs and Communications
・感染率 (2020年3月9日以前) 0.60622 (2020年3月10日以降)
・Infection rate (before March 9, 2020) 0.60622 (after March 10, 2020)
・回復率(または除去率)
・Recovery rate (or removal rate)
・フィッティング期間:2020年3月15日~2020年3月26日
・Fitting period: March 15, 2020-March 26, 2020
〇 indicates the result of numerical simulation, and ● indicates the actual number of confirmed daily infected persons
2020年3月27日から直接接触頻度を減少目標値18%(q=0.18)に低下させた場合の感染者数の減少を確認できる予想シミュレーション。●は日次感染者数報告数の実測値。〇は確率的遅れ付SIRモデルによるシミュレーション結果。
An expected simulation that can confirm the decrease in the number of infected people when the direct contact frequency is reduced to the target value of 18% (q = 0.18) from March 27, 2020. ● is indicates the actual number of daily infections reported. 〇 is a simulation result by a stochastic SIR model with delay.
****************************************************************************** that‘s all
【3月30日現在】As of March 30
東京五輪大会組織委員会は、30日夜の記者会見で新たな日程を発表した。五輪は来年7月23日、パラリンピックは8月24日の開催だ。ウイルス終息宣言との競争が始まったのである。果たして、三重県程度にまで感染を抑えることができるだろうか?
三重県内には空港がなく、新幹線停車駅もない。これが、安価で安易な中国人インバウンド・ツアーの流入をブロックしており、全国の外国人観光客の平均17%の増加に比べ、僅か1%に限られる理由の一つである。観光庁の「訪日外国人の消費動向調査」1〜3月期、4〜6月期、7〜9期のデータから外国人観光客から人気のある都道府県を順に並べると以下の通りとなるが、2019年の直近最新版として、三重県は30位。また、JTBの訪日外国人観光客認知度ランキングによると、三重は福井、愛媛と共に最下位である。
しかし、この事が春節期の武漢ウイルスの侵入が抑制できたのも事実であり、それはAFPの感染者を示すマップを時系列に俯瞰しても明らかである。中国の一帯一路に沿って、欧州や東南アジアへと広がっていった様子がよくわかるではないか。これが言わば"種まき"になったのだ。
東京五輪ではテロ対策と共に、大規模な検疫システムが必要になるだろう。
Organizing Committee for the Tokyo Olympics announced the new schedule at a press conference on Sunday night. The Olympics will held July 23 next year, and the Paralympic is on August 24. The competition with the Wuhan virus end declaration has begun. Really, Can it fall to about Mie Prefecture by then?
There is no own airport in Mie Prefecture. There is also no shinkansen station. this is one of the reasons why this hinders the influx of cheap and easy Chinese inbound tours, and reason to limited at 1% only, compared to the average 17% increase in the number of foreign tourists visiting Japan nationwide. According to data from the JTA's "Survey on Consumption Trends of Foreign Visitors to Japan" in the January-March period, April-June, and July-9, the ranking of popular prefectures from foreign tourists is as follows. Mie Prefecture is ranked 30th as the latest update in 2019. In addition, according to JTB's ranking of foreign tourists visiting Japan, Mie Prefecture is the lowest, along with Fukui and Ehime Prefectures.
However, this thing was able to suppress the invasion of the Wuhan virus in the Chinese new year season. this fact is evident in the time series of the world map showing the infected people of AFP News. we can see how it spread to Europe and Southeast Asia along the whole the one belt and one road of CCP. This became so-called "seeding".
Tokyo Olympics will need a large-scale quarantine system along with counter-terrorism.
1位 東京都 Tokyo 2位 大阪府 Osaka 3位 千葉県 Chiba pref. 4位 京都府 Kyoto 5位 福岡県 Fukuoka pref. 6位 奈良県 Nara pref. 7位 愛知県 Aichi pref. 8位 神奈川県 Kanagawa pref. 9位 北海道 Hokkaido 10位 兵庫県 Hyogo pref. 11位 山梨県 Yamanashi pref. 12位 静岡県 Shizuoka pref. 13位 大分県 Oita pref. 14位 岐阜県 Gifu pref. 15位 長野県 Nagano pref. 16位 広島県 Hiroshima pref. 17位 石川県 Ishikawa pref. 18位 熊本県 Kumamoto pref. 19位 長崎県 Nagasaki pref. 20位 富山県 Toyama pref. 21位 沖縄県 Okinawa pref. 22位 香川県 Kagawa pref. 23位 栃木県 Tochigi pref. 24位 埼玉県 Saitama pref. 25位 佐賀県 Saga pref. 26位 岡山県 Okayama pref. 27位 宮城県 Miyagi pref. 28位 和歌山県 Wakayama pref. 29位 鹿児島県 Kagoshima pref. 30位 三重 Mie pref. 31位 新潟県 Nigata pref. 32位 茨城県 Ibaraki pref. 33位 山口県 Yamaguchi pref. 34位 滋賀県 Shiga pref. 35位 青森県 Aomori pref. 36位 群馬県 Gunma pref 3 位 宮崎県 Miyazaki pref. 38位 愛媛県 Ehime pref. 39位 鳥取県 Tottri pref. 40位 山形県 Yamagata pref. 41位 岩手県 Iwate pref. 42位 徳島県 Tokushima pref. 43位 秋田県 Akita pref. 44位 福島県 Fukushima pref. 45位 島根県 Shimane pref. 46位 福井県 Fukui pref. 47位 高知県 Kochi pref.
【日本の都道府県別感染者数 (2020年3月31日現在)】Number of infected people by prefecture in Japan (As of March 31, 2020)
The domestic mortality rate excluding the cruise ship is 2.95%. however,
【死亡率】The mortality rates
米国立アレルギー・感染症研究所NIAIDの所長は今月上旬、新型コロナウイルス感染症の死亡率は約2%とする推計を公表していた。ただし、この数字は報告された症例のみを対象としている。このことから、無症状や症状が軽い感染者を含めれば、実際にはもっと低い可能性もあると指摘していたが、3月31日のCNNニュースによると、インペリアル・カレッジ・ロンドンの研究者が医学誌ランセットに、新型コロナウイルスに感染した患者の死亡率は、これまでの推計よりも低いという研究結果を発表した。
これによると、新型コロナウイルスに感染した患者の死亡率は、無症状の感染者を除外すると1.38%だったが、症状が軽い患者も含めた場合は約0.66%だと推計され、80歳以上の死亡率は約7.8%となる。一方、9歳未満の子どもは0.00161%、40歳未満では0.16%だった。
ちなみに、3月31日のロシア新型コロナウイルス緊急対策本部によると、ロシア全土の感染確認は73地域となり、感染者数は2337人になった。回復者は55人。死者は17人で、死亡率は0.72%である。
集団ヒステリーに陥らない事が大事だ。
According to this, the mortality rate of patients infected with the Wuhan coronavirus was 1.38%. however, if it include mild patients is estimated to be 0.66%. The mortality rate of over 80 years old are about 7.8%. on the other hand, children under the age of nine are 0.0016%. for under 40s was 0.16%.
Incidentally, according to the Russia New Coronavirus Emergency Headquarters, the number of people infected was reported in 73 areas across Russia. The recovery person is 55. The death toll is 17, with a mortality rate of 0.72%.
It is important not to fall into collective hysteria.
【日経平均株価の推移 3月31日 年度末】Changes of Nikkei Stock Average March 31 End of FY
【日本におけるクラスター】Clusters in Japan
As of March 31, It has not occurred in 37 prefectures including Mie Prefecture.
Copyright (C) 2015 O.H.M.S.S. All rights reserved.
**********************************************************************************
O.H.M.S.S.(Ohuda Higashi-kishu Matsusaka-area Sightseeing Support) Shigeki Imura
a supporting member of UNWTO / APTEC
"About the involvement of the tourism industry with regional development"
Home https://ohmss700.blogspot.jp/?m=1
Index http://blog.livedoor.jp/ohmss700/



















































